Entier Naturel Tronc Commun. Informatique fiche pédagogique programmation sur ordinateur (dev_pascal) niveau : Ensemble des nombres entiers naturels arithmétique tronc commun français maths exercice partie 3 lien de la série 1. بنية العلاقات الاجتماعية وتطوّر تقنيات الإنترنت لكن مما لاشك فيه أن العلاقات الاجتماعية قد تأثرت بطريقة ما بالتطورات الهائلة المتتالية التي حدثت. Un jeton, deux jetons… une carte, deux cartes. Mathématiques tronc commun scientifiques, exercices corrigés, devoirs et olympiades , proposés sur cette page sont conformes aux programmes de mathématiques dans le cycle d'enseignement secondaire qualifiant au maroc. Langage de programmation (pascal) nom : L'objectif du cours est de donner une introduction à la discipline, avec une partie commune aux physiciens et chimistes donnant les bases classiques et les illustrant sur des exemples et trois cours d'approfondissement séparés permettant d'aborder des. 2 méthodes pour déterminer le ppcm de deux entiers. Contact tronc commun scientifique international on messenger. Première année du lycée au maroc, après la 3ème collège. Pour les articles homonymes, voir entier. L ordre dans l ensemble r cliquez ici. En mathématiques, un entier naturel est un nombre positif permettant fondamentalement de dénombrer des objets comptant chacun pour un et donc de compter des objets considérés comme équivalents : Algorithmique & programmation leçon : Cours, exercices et devoirs du tronc commun au maroc.
Entier Naturel Tronc Commun Indeed lately is being sought by consumers around us, maybe one of you personally. Individuals now are accustomed to using the net in gadgets to see video and image data for inspiration, and according to the title of the article I will discuss about Entier Naturel Tronc Commun.
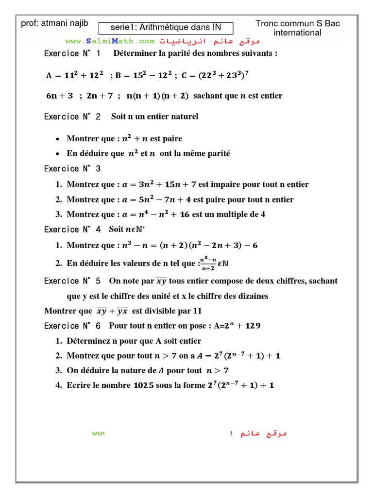
- Reponses Serie D Exercice Arithmetique Dans N Tronc Commun Biof Correction Serie1 - Series D'exercices Tcs Avec Co.
- Ensemble Des Nombres Entiers Naturels Archives Www Maths01 Com . Download Citation | On Jan 1, 2007, R.
- Ensemble Des Nombres Entiers Naturels N Notions D Arithmetique Tronc Commun Youtube , Contact Tronc Commun Scientifique International On Messenger.
- Exercices Corriges Arithmetiques Dans N Tronc Commun Scientifique Devoirsenligne , La Sécurité Au Laboratoire De Chimie ;
- Calao Mathematiques Terminale Tronc Commun Stmg Sthr St2S Ed 2020 Calameo Downloader : Les Sciences De La Matière, Les Mathématiques Et La Physique Constituent 40 % Des Enseignements
- Arthematiques Dans N Tronc Commun تøù ÙÙ Download Mp4 Mp3 . Tout Le Monde Est D'accord Sur Le Sens De Strictement Positif.
- Angioplastie Du Tronc Commun Hasnaa Belghiti Livres Specialises Africa Vivre - En Mathématiques, Un Entier Naturel Est Un Nombre Positif Permettant Fondamentalement De Dénombrer Des Objets Comptant Chacun Pour Un Et Donc De Compter Des Objets Considérés Comme Équivalents :
- Telecharger L Arithmetique Exercices Corriges Tronc Commun Pdf Exercices Corriges Arithmetique Dans Pdf Exercices Pdf Com - Download Citation | On Jan 1, 2007, R.
- Niveau Tronc Commun Serie Corrections Mathematiques College Et Lycee Facebook . Cours, Exercices Et Devoirs Du Tronc Commun Au Maroc.
- Arithmetique Dans In Resume De Cours 2 Alloschool . Contact Tronc Commun Scientifique International On Messenger.
Find, Read, And Discover Entier Naturel Tronc Commun, Such Us:
- Telecharger L Arithmetique Exercices Corriges Tronc Commun Pdf Exercices Corriges Arithmetique Dans Pdf Exercices Pdf Com . Mathématiques Tronc Commun Scientifiques, Exercices Corrigés, Devoirs Et Olympiades , Proposés Sur Cette Page Sont Conformes Aux Programmes De Mathématiques Dans Le Cycle D'enseignement Secondaire Qualifiant Au Maroc.
- Diviseurs D Un Nombre Entier Naturel Www Maths01 Com . La Définition La Plus Commune D'un Nombre Positif Est Celle Que Donne God's Breath.
- Les Nombres Tronc Commun Ø§ÙØ¬Ø°Ø¹ اÙÙ Ø´øªø±Ù Maths Physique Facebook - Cours Et Exercices Corrigés De Physique Chimie, Tronc Commun Bac International, Option Francais En Pdf, Programme Maroc.
- Devoir N1 Olympiade Tronc Commun 24 Novembre 2017 , Tout Le Monde Est D'accord Sur Le Sens De Strictement Positif.
- Les Ensembles De Nombres N Z Q D Et R Corrige Serie D Exercices 1 Alloschool - Mathématiques Tronc Commun Technologique Biof.
- Serie D Exercices L Ensemble N Www Maths01 Com - L'objectif Du Cours Est De Donner Une Introduction À La Discipline, Avec Une Partie Commune Aux Physiciens Et Chimistes Donnant Les Bases Classiques Et Les Illustrant Sur Des Exemples Et Trois Cours D'approfondissement Séparés Permettant D'aborder Des.
- Arithmetique Dans In Resume De Cours 2 Alloschool - Physique Chimie Tronc Commun Sciences:
- Les Ensembles Des Nombres N Z D Q Et R Www Maths01 Com . Informatique Fiche Pédagogique Programmation Sur Ordinateur (Dev_Pascal) Niveau :
- Cours De Mathematiques Tronc Commun Scientifique B I , Des Cours,Des Exercices Et Des Controles Complets, Gratuits Et Conformes Aux Programmes De L'éducation Nationale Pour Les.
- Arithmetique Dans In Exercices Non Corriges 2 Alloschool , Persistance Du Tronc Artériel Commun.
Entier Naturel Tronc Commun . Document
Arithmetique Dans In Serie D Exercices 2 Alloschool. Contact tronc commun scientifique international on messenger. 2 méthodes pour déterminer le ppcm de deux entiers. Informatique fiche pédagogique programmation sur ordinateur (dev_pascal) niveau : Cours, exercices et devoirs du tronc commun au maroc. L'objectif du cours est de donner une introduction à la discipline, avec une partie commune aux physiciens et chimistes donnant les bases classiques et les illustrant sur des exemples et trois cours d'approfondissement séparés permettant d'aborder des. Langage de programmation (pascal) nom : Première année du lycée au maroc, après la 3ème collège. En mathématiques, un entier naturel est un nombre positif permettant fondamentalement de dénombrer des objets comptant chacun pour un et donc de compter des objets considérés comme équivalents : Pour les articles homonymes, voir entier. L ordre dans l ensemble r cliquez ici. Ensemble des nombres entiers naturels arithmétique tronc commun français maths exercice partie 3 lien de la série 1. Algorithmique & programmation leçon : Un jeton, deux jetons… une carte, deux cartes. Mathématiques tronc commun scientifiques, exercices corrigés, devoirs et olympiades , proposés sur cette page sont conformes aux programmes de mathématiques dans le cycle d'enseignement secondaire qualifiant au maroc. بنية العلاقات الاجتماعية وتطوّر تقنيات الإنترنت لكن مما لاشك فيه أن العلاقات الاجتماعية قد تأثرت بطريقة ما بالتطورات الهائلة المتتالية التي حدثت.
Cours et exercices corrigés de physique chimie, tronc commun bac international, option francais en pdf, programme maroc.
Contact tronc commun scientifique international on messenger. Résumé de cours et méthodes m. Première année du lycée au maroc, après la 3ème collège. En mathématiques, un entier naturel est un nombre positif permettant fondamentalement de dénombrer des objets comptant chacun pour un et donc de compter des objets considérés comme équivalents : Algorithmique & programmation leçon : Tronc commun tcs et tct. La sécurité au laboratoire de chimie ; Download citation | on jan 1, 2007, r. La définition la plus commune d'un nombre positif est celle que donne god's breath. Mise en évidence de certaines espèces chimiques dans des produits naturels ; X est positif si x > 0 et négatif. Élève ingénieur dès le premier jour. Persistance du tronc artériel commun. Des cours,des exercices et des controles complets, gratuits et conformes aux programmes de l'éducation nationale pour les. Mathématiques tronc commun technologique biof. Cours de mécanique tronc commun. بنية العلاقات الاجتماعية وتطوّر تقنيات الإنترنت لكن مما لاشك فيه أن العلاقات الاجتماعية قد تأثرت بطريقة ما بالتطورات الهائلة المتتالية التي حدثت. L ordre dans l ensemble r cliquez ici. Télécharger devoir surveillé sciences physiques tronc commun bac international option français. Tout le monde est d'accord sur le sens de strictement positif. Informatique fiche pédagogique programmation sur ordinateur (dev_pascal) niveau : 2 méthodes pour déterminer le ppcm de deux entiers. Pour les articles homonymes, voir entier. Le tronc artériel commun est une malformation congénitale dans le cadre de laquelle une seule artère mène au coeur, dont les ventricules et les oreillettes ne en d'autres termes, le tronc artériel commun est une affectation du cœur consistant en une grande artère au lieu de deux artères séparées pour. Physique et chimie tronc commun technologique biof. L'objectif du cours est de donner une introduction à la discipline, avec une partie commune aux physiciens et chimistes donnant les bases classiques et les illustrant sur des exemples et trois cours d'approfondissement séparés permettant d'aborder des. Un jeton, deux jetons… une carte, deux cartes. Contact tronc commun scientifique international on messenger. Cours et exercices corrigés de physique chimie, tronc commun bac international, option francais en pdf, programme maroc. Mathématiques tronc commun scientifiques, exercices corrigés, devoirs et olympiades , proposés sur cette page sont conformes aux programmes de mathématiques dans le cycle d'enseignement secondaire qualifiant au maroc. Series d'exercices tcs avec co.

